
日月轮回,岁序更迭;银蛇辞旧,金马迎新。当春风拂过砚田,翰墨便晕染出岁月的温煦;当笔锋游走宣纸,丹青即勾勒出山河的灵秀。值此丙午新春将至之际,渭南市书画院特举办这次“跃马迎春书画作品网络展”,共展示书法、绘画、篆刻近40幅。值得一提的是,此展作者中有不少新面孔,令人欣喜。渭南市书画院的艺术家们以纸为媒,以艺会友,展一卷山河壮阔,书几行岁月安然。他们精心创作,用自己的力作表达对党的热爱、对祖国的致敬、对春天的期盼,寄托了对全市人民的一份新年祝福。
“跃马争春”是刻入华夏文脉的昂扬意象。展中诸作,既有“春风得意马蹄疾”的快意,亦有“骁腾有如此,万里可横行”的豪情。书画同源,龙马精神,一笔一划皆是对新春的礼赞,一字一墨尽是对山河的颂歌。
步入腊月,年味渐浓。观笔下春秋,品纸上风华。愿诸君于尺幅寸缣间,品翰墨之香,感新春之暖,共赴这场充满诗意与力量的文化盛宴,共享艺术与美感的精神大餐。
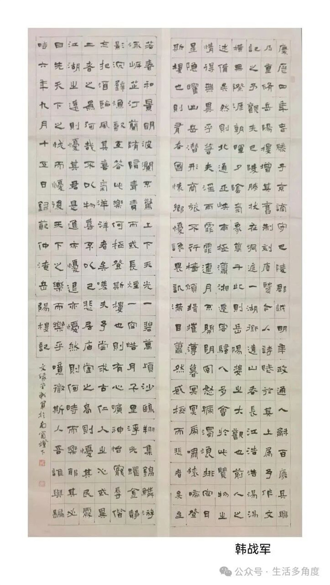
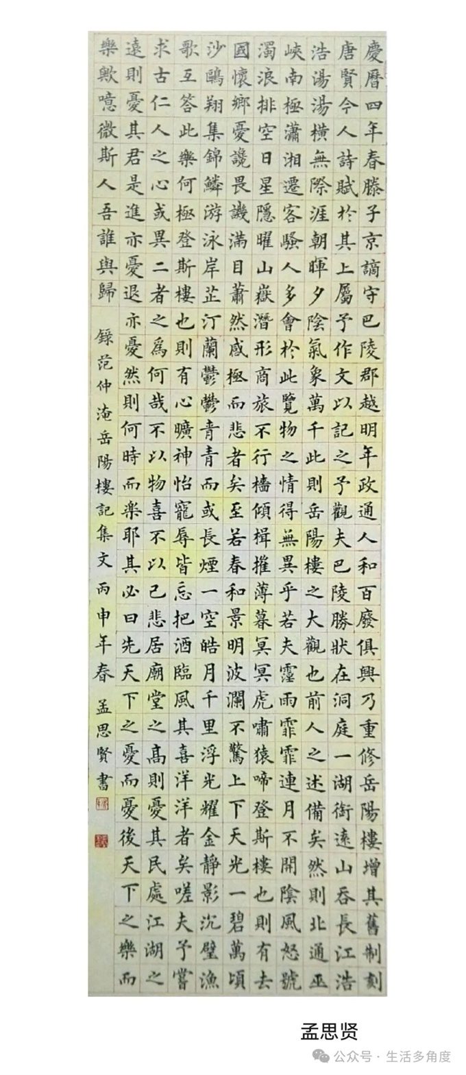
作品: